在眾多工業企業里,箱式電阻爐作為關鍵生產設備承擔著眾多繁重的生產任務,尤其在保證產品質
量性能方面更是發揮著不可替代的作用,那么如何保障箱式電阻爐安全、可靠、準確的運行就顯得尤為重要。
本文根據本單位測量標準建立數學模型,分析不確定度構成,并根據JJF 1376-2012進行測量不確定度評定。
1.1 測量的依據
JJF 1376-2012《箱式電阻爐校準規范》。
1.2 環境條件
環境溫度:(15~35)°C;
相對濕度:不大于85%。
1.3 測量標準
傳感器為多支1級K型工業熱電偶,測量 設備為
1560型堆棧式測溫儀,該測量設備在1200°C時的最大
允許誤差為:±0.11°C。
K型工業熱電偶I級:±0.4%t
1.4 測量對象
各 種 規 格 箱 式 電 阻 爐 ,測 量 范 圍 為 :
300°C~1200°C。
1.5 測量過程
用定點法直接測量,即將溫度傳感器按JFF1376-2012《箱式電阻爐校準規范》的要求,直接布入箱式電
阻爐的爐體內,測出爐體內各點的溫度,然后將測量結果根據要求進行計算,求出該電阻爐的均勻度等。
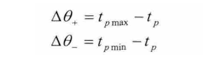
.1 數學模型

表示爐溫均勻度較大值;
表示爐溫
均勻度較小值;
t p max為測溫儀器在測溫區規定的各測量
點上測得的最高值;
t p min為測溫儀器在測溫區規定的各
測量點上測得的最低值;
t p為中心(監控)點的實際溫
度。
2.2 箱式電阻爐爐溫均勻度的不確定度的構成
箱式電阻爐爐溫均勻度量的不確定度的構成要素
包括四部分:
(1)計量人員在重復條件下進行重復測量引入的
標準不確定度,包括t pmax、t pmin、t p;
(2)用數字儀表進行測量引入的標準不確定度;
(3)數字溫度計分辨率引入的標準不確定度(可略);
(4)溫度傳感器校準時引入的標準不確定度。
A類不確定度的評定
在箱式爐校準溫度為800°C時,測溫儀器在得到最
高平均值的測溫點和最低平均值的測溫點以及中心點讀取溫度值,共計20次,測量結果見表1。
